Giải phương trình (4x-1)$\sqrt{x²+1}$ = 2(x ²+1)+2x-1 Lm nhanh nha, mik đng thi

Question

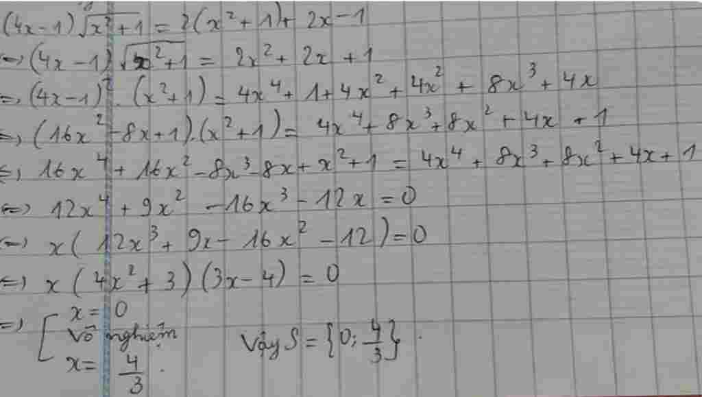
Giải phương trình
(4x-1)$\sqrt{x²+1}$ = 2(x ²+1)+2x-1
Lm nhanh nha, mik đng thi

in progress 0
Thiên Ân 5 years 2021-05-23T21:31:41+00:00 1 Answers 29 views 0

Answers ( )

    0
    2021-05-23T21:32:46+00:00

    `text{Trúc Chià.xanh}`

    P/s: Bạn thi tốt<3

     

    giai-phuong-trinh-4-1-sqrt-1-2-1-2-1-lm-nhanh-nha-mik-dng-thi

Leave an answer

Browse

Giải phương trình 1 ẩn: x + 2 - 2(x + 1) = -x . Hỏi x = ? ( )