Em làm ra kết quả khác đáp án . mn giải thích em với ạ Question Em làm ra kết quả khác đáp án . mn giải thích em với ạ in progress 0 Môn Toán Orla Orla 6 years 2020-11-10T11:58:01+00:00 2020-11-10T11:58:01+00:00 2 Answers 62 views 0
Answers ( )
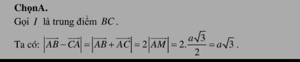
Đáp án: A
Giải thích các bước giải:
$|\vec{AB}-\vec{CA}|=|\vec{AB}+\vec{AC}|=2|\vec{BI}|$ (I là trung điểm BC, theo quy tắc hình bình hành).
BI cũng là đường cao $\Rightarrow |\vec{BI}|=\dfrac{a\sqrt3}{2}$
$\to 2|\vec{BI}|=a\sqrt3$
Đáp án:
Giải thích các bước giải: