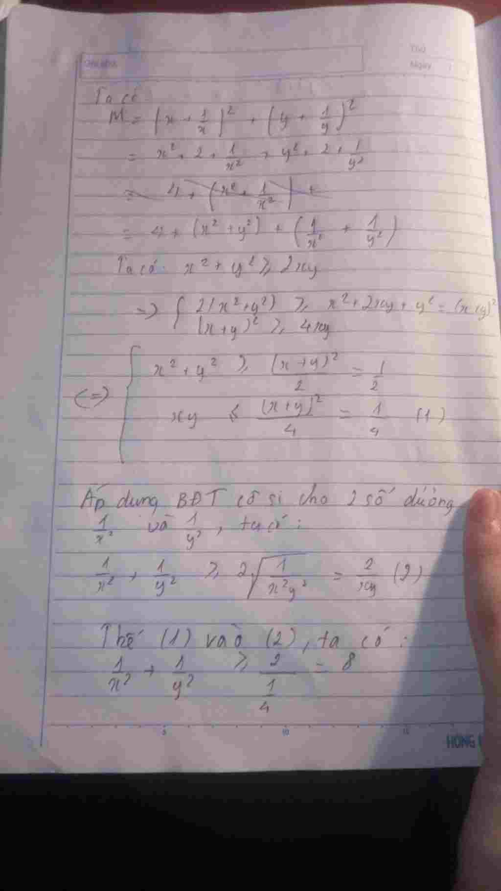
a) Cho x,y là hai số dương và x+ y = 1 Tìm giá trị nhỏ nhất của biểu thức M= ( x + 1/x)^2 + (y + 1/y )^2

Question

a) Cho x,y là hai số dương và x+ y = 1
Tìm giá trị nhỏ nhất của biểu thức M= ( x + 1/x)^2 + (y + 1/y )^2

in progress 0
Sapo 5 years 2020-11-04T14:58:16+00:00 1 Answers 72 views 0

Answers ( )

    0
    2020-11-04T14:59:37+00:00

    Bạn xem hình nhé ^^

     

    a-cho-y-la-hai-so-duong-va-y-1-tim-gia-tri-nho-nhat-cua-bieu-thuc-m-1-2-y-1-y-2

Leave an answer

Browse

Giải phương trình 1 ẩn: x + 2 - 2(x + 1) = -x . Hỏi x = ? ( )