|3x|=x+8 |x-5|=3x |-2x|=4x+18 |x+2|=2x-10 giải như sách nhé

Question

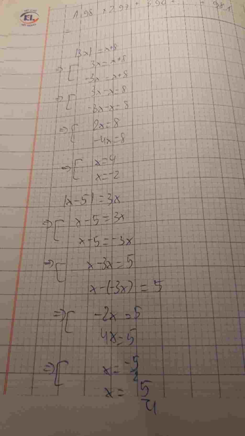
|3x|=x+8
|x-5|=3x
|-2x|=4x+18
|x+2|=2x-10
giải như sách nhé

in progress 0
Khoii Minh 5 years 2021-05-23T23:06:40+00:00 2 Answers 24 views 0

Answers ( )

    0
    2021-05-23T23:07:54+00:00

    Đáp án:

     

    Giải thích các bước giải:

    3x|=x+8

    -3x =x+8

    ⇔−3x−x=8

    ⇔−4x=8

    ⇔x=−2(thỏa mãn giá trị của x)

    0
    2021-05-23T23:08:24+00:00

    Đáp án:

     

    Giải thích các bước giải:

     

    3-8-5-3-2-4-18-2-2-10-giai-nhu-sach-nhe

Leave an answer

Browse

Giải phương trình 1 ẩn: x + 2 - 2(x + 1) = -x . Hỏi x = ? ( )