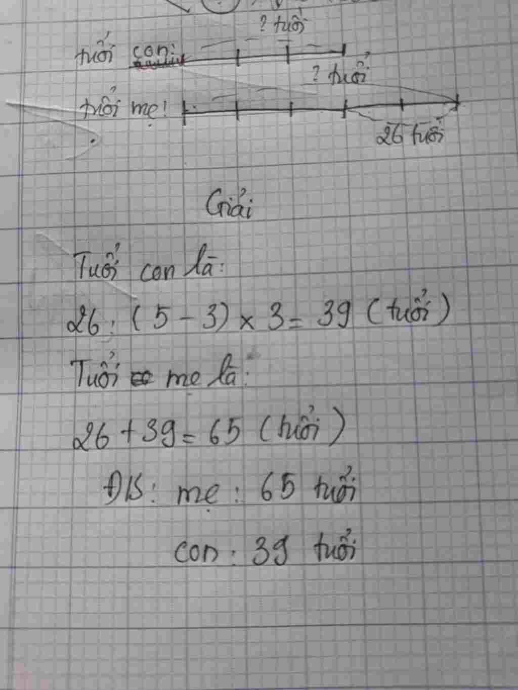
20Đ 1 BÀI !!!! MẠI ZÔ !!!!!!!!! giải bài toán theo sơ đồ sau : (Gợi ý : Đây là dạng toán H-T)

Question

20Đ 1 BÀI !!!! MẠI ZÔ !!!!!!!!!
giải bài toán theo sơ đồ sau :
(Gợi ý : Đây là dạng toán H-T)
20d-1-bai-mai-zo-giai-bai-toan-theo-so-do-sau-goi-y-day-la-dang-toan-h-t

in progress 0
Acacia 6 years 2020-11-10T11:47:23+00:00 2 Answers 83 views 0

Answers ( )

    0
    2020-11-10T11:48:44+00:00

    Tuổi mẹ là
    26×(5-3)×3 =29
    Tuổi con là
    26+29=55

    0
    2020-11-10T11:49:08+00:00

    Em vẽ sơ đồ sai nha. 

    20d-1-bai-mai-zo-giai-bai-toan-theo-so-do-sau-goi-y-day-la-dang-toan-h-t

Leave an answer

Browse

Giải phương trình 1 ẩn: x + 2 - 2(x + 1) = -x . Hỏi x = ? ( )