1.rút gọn biểu thức a/ (a+b)^3-(a-b)^3-6a^2b b/ (a+b)^3+(a-b)^3-6ab^2 2. a/ cho x+y=7 tính giá trị của biểu thức M=(x+y)^3+2x^2+4xy+2y^2 b/ cho x-y=-5

Question

1.rút gọn biểu thức
a/ (a+b)^3-(a-b)^3-6a^2b
b/ (a+b)^3+(a-b)^3-6ab^2
2.
a/ cho x+y=7 tính giá trị của biểu thức
M=(x+y)^3+2x^2+4xy+2y^2
b/ cho x-y=-5 tính giá trị của biểu thức
N=(x-y)^3-x^2+2xy-y^2

in progress 0
Thu Nguyệt 5 years 2021-05-01T03:37:28+00:00 3 Answers 298 views 0

Answers ( )

    0
    2021-05-01T03:39:22+00:00

    Đáp án:

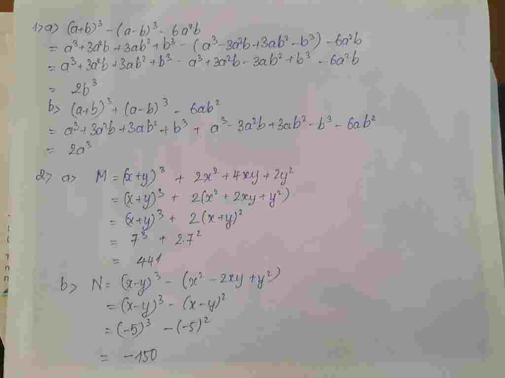
     1.

      `a,2b^3`

      `b,2a^3`

     2.

      `a,M=441`

      `b,N=-150`

    Giải thích các bước giải:

     1. 

    `a, (a+b)^3-(a-b)^3-6a^2b`

    `=(a^3+3a^2b+3ab^2+b^3)-(a^3-3a^2b+3ab^2-b^3)-6a^2b`

    `=2b^3`

    `b, (a+b)^3+(a-b)^3-6ab^2`

    `=(a^3+3a^2b+3ab^2+b^3)+(a^3-3a^2b+3ab^2-b^3)-6ab^2`

    `=2a^3`

     2.

    `a,M=(x+y)^3+2x^2+4xy+2y^2`

    `=(x+y)^3+2(x^2+2xy+y^2)`

    `=(x+y)^3+2(x+y)^2`

    `=7^3+2.7^2`

    `=343+98`

    `=441`

    `b,N=(x-y)^3-x^2+2xy-y^2`

    `=(x-y)^3-(x^2-2xy+y^2)`

    `=(x-y)^3-(x-y)^2`

    `=(-5)^3-(-5)^2`

    `=-125-25`

    `=-150`

    0
    2021-05-01T03:39:26+00:00

    Đáp án:

     

    Giải thích các bước giải:

     

    1-rut-gon-bieu-thuc-a-a-b-3-a-b-3-6a-2b-b-a-b-3-a-b-3-6ab-2-2-a-cho-y-7-tinh-gia-tri-cua-bieu-th

    0
    2021-05-01T03:39:35+00:00

    Để tìm câu trả lời chính xác các em hãy tham khảo (a+b)^3 các nguồn hoc24.vn, lazi.vn, hoidap247.com để thầy cô và các chuyên gia hỗ trợ các em nhé!

Leave an answer

Browse

Giải phương trình 1 ẩn: x + 2 - 2(x + 1) = -x . Hỏi x = ? ( )