tim x : 4.(x-1)+x=96

Question

tim x :
4.(x-1)+x=96

in progress 0
Eirian 5 years 2020-11-10T11:38:50+00:00 2 Answers 89 views 0

Answers ( )

    0
    2020-11-10T11:40:32+00:00

    Đáp án:

     

    Giải thích các bước giải:

     

    tim-4-1-96

    0
    2020-11-10T11:40:48+00:00

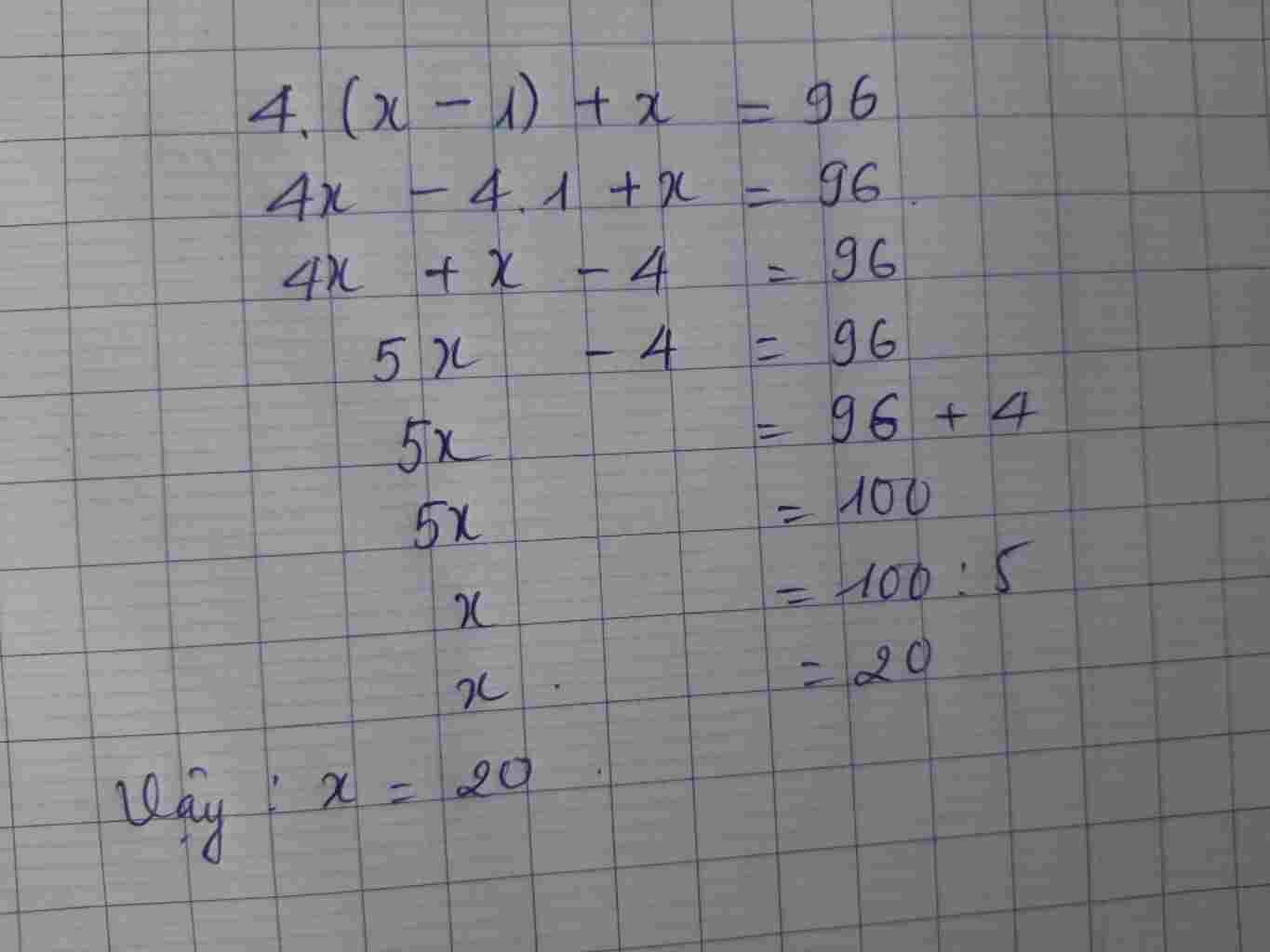
    4 . (x – 1) + x = 96

    4x – 4 + x = 96

    5x – 4 = 96

    5x = 96 + 4 = 100

      x = 100 : 5 = 20

     

Leave an answer

Browse

Giải phương trình 1 ẩn: x + 2 - 2(x + 1) = -x . Hỏi x = ? ( )