làm gấp ạ trc 2h nha mng

Question

làm gấp ạ trc 2h nha mng
lam-gap-a-trc-2h-nha-mng

in progress 0
Sapo 5 years 2020-11-19T19:48:24+00:00 2 Answers 60 views 0

Answers ( )

    0
    2020-11-19T19:49:24+00:00

    Giải thích các bước giải:

     Xem ảnh

    lam-gap-a-trc-2h-nha-mng

    0
    2020-11-19T19:50:21+00:00

    TL:

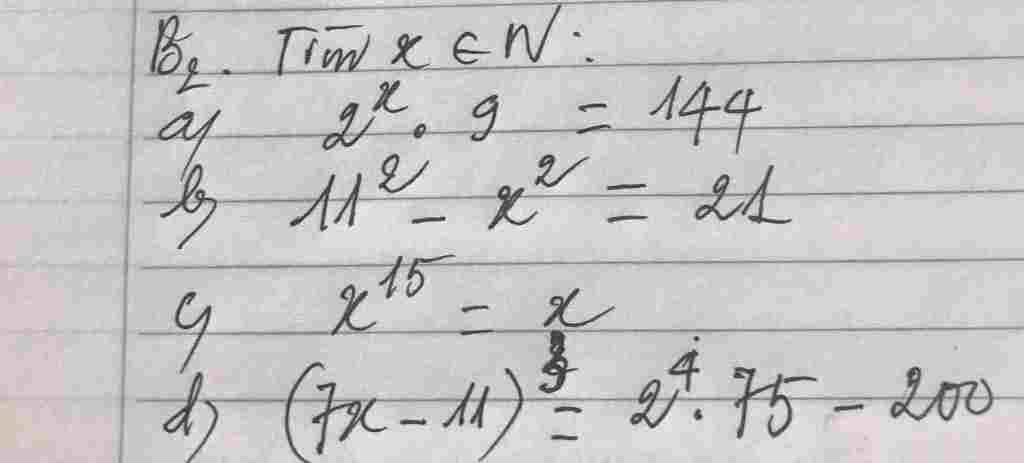
    $a) 2^x.9 = 144$

    $=> 2^x = 144 : 9 = 16$

    $=> 2^x = 2^4 $

    Vậy x = 4 

     $b) 11^2 – x^2 = 21 $

    $=> 121 – x^2 = 21$

    $=> x^2 = = 121 – 21 = 100$

    =>\(\left[ \begin{array}{l}x^2=10 => x = 10 (t/m)\\x^2=-10 (loại)=> x = -10 \end{array} \right.\)

    Vậy x = 10

    lam-gap-a-trc-2h-nha-mng

Leave an answer

Browse

Giải phương trình 1 ẩn: x + 2 - 2(x + 1) = -x . Hỏi x = ? ( )