Hoàn thành dãy chuyển hoá sau đây: Fe—FeCl3—-Fe(OH)3—–Fe2(SO4)3—-FeCl3

Question

Hoàn thành dãy chuyển hoá sau đây:
Fe—FeCl3—-Fe(OH)3—–Fe2(SO4)3—-FeCl3

in progress 0
Edana Edana 5 years 2021-01-23T17:53:52+00:00 3 Answers 92 views 0

Answers ( )

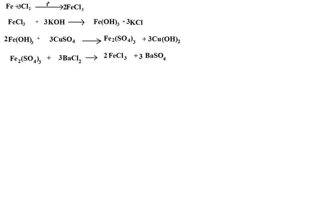
    0
    2021-01-23T17:55:48+00:00

    Đáp án:

     

    Giải thích các bước giải:

    hoan-thanh-day-chuyen-hoa-sau-day-fe-fecl3-fe-oh-3-fe2-so4-3-fecl3

    0
    2021-01-23T17:55:51+00:00

    Đáp án:

     

    Giải thích các bước giải:

     2Fe + 3Cl2 -> 2FeCl3

    FeCl3 + 3NaOH -> Fe(OH)3 + 3NaCl

    2Fe(OH)3 + 3Na2SO4 -> Fe2(SO4)3 + 6NaOH

    Fe2(SO4)3 + 3BaCl2 -> 3BaSO4 + 2FeCl3

    0
    2021-01-23T17:55:58+00:00

    Để tìm câu trả lời chính xác các em hãy tham khảo fecl3 + fe các nguồn hoc24.vn, lazi.vn, hoidap247.com để thầy cô và các chuyên gia hỗ trợ các em nhé!

Leave an answer

Browse

Giải phương trình 1 ẩn: x + 2 - 2(x + 1) = -x . Hỏi x = ? ( )