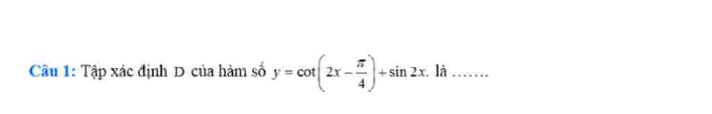
Giúp tui với, mn gấp lắm!!!!!!!!!!!!!!!!!!!!!!!!!!!!!!!

Question

Giúp tui với, mn gấp lắm!!!!!!!!!!!!!!!!!!!!!!!!!!!!!!!
giup-tui-voi-mn-gap-lam

0
King 5 years 2020-11-09T11:31:52+00:00 0 Answers 30 views 0

Leave an answer

Browse

Giải phương trình 1 ẩn: x + 2 - 2(x + 1) = -x . Hỏi x = ? ( )