GIÚP MK VS, CHỈ CẦN GHI ĐÁP ÁN THÔI, MK ĐG CẦN GẤP

Question

GIÚP MK VS, CHỈ CẦN GHI ĐÁP ÁN THÔI, MK ĐG CẦN GẤP
giup-mk-vs-chi-can-ghi-dap-an-thoi-mk-dg-can-gap

in progress 0
Ladonna 5 years 2020-11-28T20:03:04+00:00 2 Answers 41 views 0

Answers ( )

    0
    2020-11-28T20:04:09+00:00

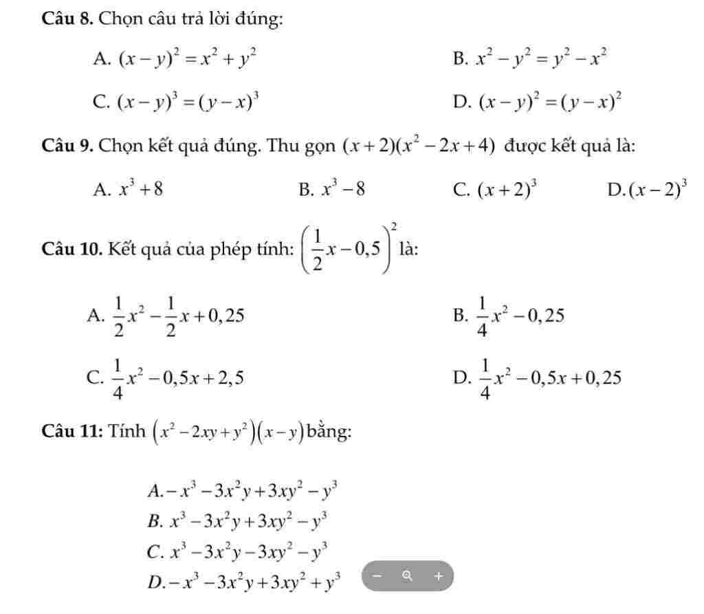
    câu 9: B

    câu 10: D

    Câu 11: b

     

    0
    2020-11-28T20:04:22+00:00

    Đáp án:

     8.A

    9.B

    10.D

    11.C

    Giải thích các bước giải:

     

Leave an answer

Browse

Giải phương trình 1 ẩn: x + 2 - 2(x + 1) = -x . Hỏi x = ? ( )