Giúp mình nha nha các chuyên toán ơiii mai em nộp rồi:((((

Question

Giúp mình nha nha các chuyên toán ơiii mai em nộp rồi:((((
giup-minh-nha-nha-cac-chuyen-toan-oiii-mai-em-nop-roi

in progress 0
Adela 5 years 2020-10-27T07:53:49+00:00 2 Answers 77 views 0

Answers ( )

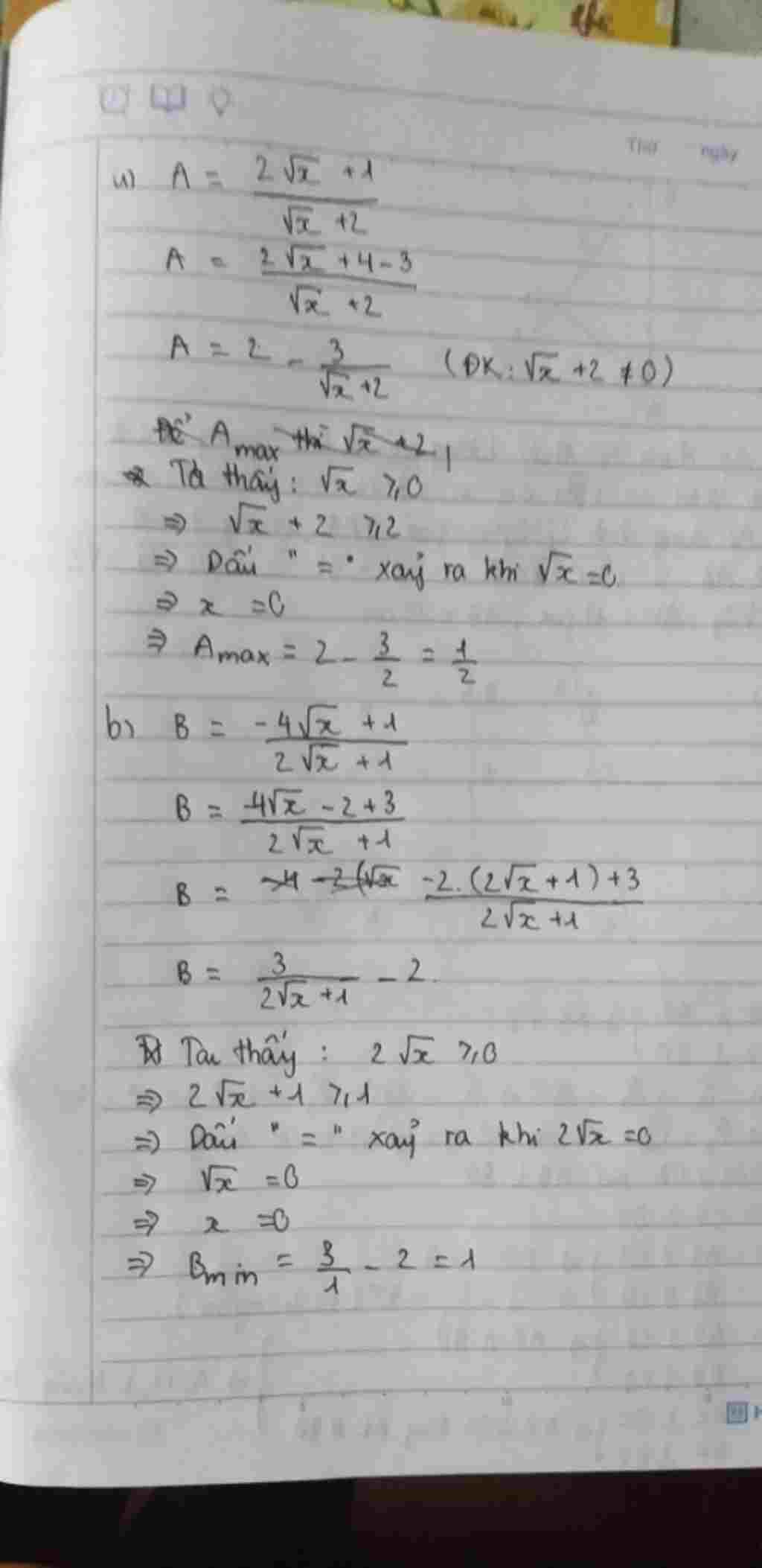
    0
    2020-10-27T07:54:56+00:00

    Đáp án:

     

    Giải thích các bước giải:

     

    giup-minh-nha-nha-cac-chuyen-toan-oiii-mai-em-nop-roi

    0
    2020-10-27T07:55:27+00:00

    Đáp án:

    a/ $MIN_{A}=\dfrac{1}{2}$ khi $x=0$

    b/ $MAX_{B}=1$ khi $x=0$

    Giải thích các bước giải:

    a/ $A=\dfrac{2\sqrt{x}+1}{\sqrt{x}+2}$

    $=\dfrac{2\sqrt{x}+4-3}{\sqrt{x}+2}$

    $=2-\dfrac{3}{\sqrt{x}+2}$

    $\text{Để A nhỏ nhất thì $\dfrac{3}{\sqrt{x}+2}$ lớn nhất}$

    $\text{⇒ $\sqrt{x}+2$ nhỏ nhất}$

    $\text{Có: $\sqrt{x}+2 \geq 2$}$

    $\text{Dấu “=” xảy ra khi $x=0$}$

    $\text{Thay $x=0$ vào A được: $A=\dfrac{1}{2}$}$

    $\text{Vậy GTNN của A là $\dfrac{1}{2}$ khi $x=0$}$

    b/ $B=\dfrac{-4\sqrt{x}+1}{2\sqrt{x}+1}$

    $=\dfrac{-4\sqrt{x}-2+3}{2\sqrt{x}+1}$

    $=-2+\dfrac{3}{2\sqrt{x}+1}$

    $\text{Để B lớn nhất thì $\dfrac{3}{2\sqrt{x}+1}$ lớn nhất}$

    $\text{⇒ $2\sqrt{x}+1$ nhỏ nhất}$

    $\text{Có: $2\sqrt{x}+1 \geq 1$}$

    $\text{Dấu “=” xảy ra khi $x=0$}$

    $\text{Thay $x=0$ vào B ta được: $B=1$}$

    $\text{Vậy GTLN của B là $1$ khi $x=0$}$

Leave an answer

Browse

Giải phương trình 1 ẩn: x + 2 - 2(x + 1) = -x . Hỏi x = ? ( )