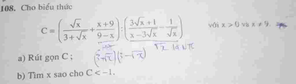
Gíup mình câu 108 với

Question

Gíup mình câu 108 với
giup-minh-cau-108-voi

in progress 0
Khoii Minh 5 years 2020-10-25T18:58:22+00:00 1 Answers 82 views 0

Answers ( )

    0
    2020-10-25T19:00:10+00:00

    Đáp án:

    a) $C=-\dfrac{3\sqrt[]{x}}{2(\sqrt[]{x}+2)}$

    b) $x>16$

    Giải thích các bước giải:

    a) Điều kiện: $x>0$ và $x \neq 9$

    $C=\Bigg(\dfrac{\sqrt[]{x}}{3+\sqrt[]{x}}+\dfrac{x+9}{9-x}\Bigg):\Bigg(\dfrac{3\sqrt[]{x}+1}{x-3\sqrt[]{x}}-\dfrac{1}{\sqrt[]{x}}\Bigg)$

    $=\dfrac{\sqrt[]{x}(\sqrt[]{x}-3)-x-9}{(\sqrt[]{x}+3)(\sqrt[]{x}-3)}:\dfrac{3\sqrt[]{x}+1-(\sqrt[]{x}-3)}{\sqrt[]{x}(\sqrt[]{x}-3)}$

    $=\dfrac{-3(\sqrt[]{x}+3)}{(\sqrt[]{x}+3)(\sqrt[]{x}-3)}.\dfrac{\sqrt[]{x}(\sqrt[]{x}-3)}{2(\sqrt[]{x}+2)}$

    $=\dfrac{-3}{\sqrt[]{x}-3}.\dfrac{\sqrt[]{x}(\sqrt[]{x}-3)}{2(\sqrt[]{x}+2)}$

    $=-\dfrac{3\sqrt[]{x}}{2(\sqrt[]{x}+2)}$

    b) $C<-1 ↔ C+1<0$

    $↔ -\dfrac{3\sqrt[]{x}}{2(\sqrt[]{x}+2)}+1<0$

    $↔ \dfrac{4-\sqrt[]{x}}{2(\sqrt[]{x}+2)}<0$

    Vì $\sqrt[]{x}≥0$ nên $\sqrt[]{x}+2>0$

    $→ \dfrac{4-\sqrt[]{x}}{2(\sqrt[]{x}+2)}<0$

    $↔ 4-\sqrt[]{x}<0$

    $↔ \sqrt[]{x}>4$

    $→ x>16$

Leave an answer

Browse

Giải phương trình 1 ẩn: x + 2 - 2(x + 1) = -x . Hỏi x = ? ( )