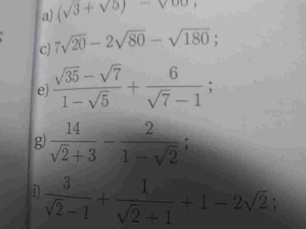
Giải hộ mình câu e thôi nha,cảm ơn các bạn

Question

Giải hộ mình câu e thôi nha,cảm ơn các bạn
giai-ho-minh-cau-e-thoi-nha-cam-on-cac-ban

in progress 0
Khang Minh 5 years 2020-11-19T21:04:33+00:00 2 Answers 65 views 0

Answers ( )

    0
    2020-11-19T21:05:33+00:00

    Đáp án:

     

    Giải thích các bước giải:

     

    giai-ho-minh-cau-e-thoi-nha-cam-on-cac-ban

    0
    2020-11-19T21:05:33+00:00

    Xem hình 

     

    giai-ho-minh-cau-e-thoi-nha-cam-on-cac-ban

Leave an answer

Browse

Giải phương trình 1 ẩn: x + 2 - 2(x + 1) = -x . Hỏi x = ? ( )