Giải hộ mình 2 bài này ạk..sáng mai mình phải nộp sớm rồi ạk..cám ơn trước ạk

Question

Giải hộ mình 2 bài này ạk..sáng mai mình phải nộp sớm rồi ạk..cám ơn trước ạk
giai-ho-minh-2-bai-nay-ak-sang-mai-minh-phai-nop-som-roi-ak-cam-on-truoc-ak

in progress 0
Nick 5 years 2020-11-02T14:57:55+00:00 2 Answers 115 views 0

Answers ( )

    0
    2020-11-02T14:59:26+00:00

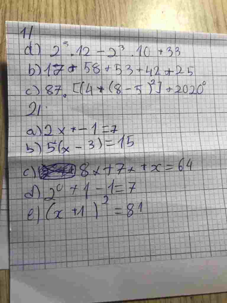
    1) 

     a) 2^3 * 12 – 2^3 * 10  + 33

       = 2^3*( 12 – 10 ) + 33

       = 8 * 2 + 33

       = 16 + 33 = 49

     B)  17 + 58  + 53  + 42 + 25

      = ( 17 + 53 ) + ( 58 + 42 ) + 25

      =  70 + 100 + 25

      = 195

    C)  87 * [( 4 +  ( 8 – 5)^2 ]  + 2020^0

        87 * ( 4 + 9) + 1

        87* 13 + 1 = 1132

    2) 

    a) 2x – 1 = 7

    => 2x = 7 + 1 = 8

    => x = 8/2 = 4

    b) 5*(x – 3) = 15

           x – 3 = 15 /5 = 3

     => x = 3 + 3 = 6

    c) 8x + 7x  + x = 64

     ( 8 + 7 + 1)*x = 64

     16* x = 64

    => x = 64/16 = 4

    e) ( x+ 1)^2 = 81

       TH1 x + 1 = 9 

    => x = 9 -1 = 8

       TH2 x + 1 = -9

              x = -9 -1 = -10

    Vậy x thuộc { -9; -10}

    Kí Hiệu: ^ là mũ, * là nhân, / là chia

      

    0
    2020-11-02T14:59:48+00:00

    Đáp án:

     

    Giải thích các bước giải:

    1a) 2^3 . 12 – 2^3 . 10  + 33

       = 2^3.( 12 – 10 ) + 33

       = 8 . 2 + 33

       = 16 + 33

       = 49

     b)  17 + 58  + 53  + 42 + 25

      = ( 17 + 53 ) + ( 58 + 42 ) + 25

      =  70 + 100 + 25

      = 195

    c)  87 . [( 4 +  ( 8 – 5)^2 ]  + 2020^0

      =  87 .   ( 4 + 9)                 + 1

      =  87  .      13                     + 1

      = 1132

    2a) 2x – 1 = 7

        2x = 7 + 1

        2x = 8

          x = 8 : 2

             = 4

    b) 5. (x – 3) = 15

             x – 3  =  15 : 5

             x – 3  = 3

             x = 3 + 3

             x = 6

    c) 8x + 7x  + x = 64

     ( 8 + 7 + 1). x = 64

           16        . x = 64

                        x = 64 :16

                        x = 4

    e) ( x+ 1)^2 = 81

          x + 1      = 9 

          x             = 9 -1

          x             = 8

    Chúc bạn hok tốt

    Cho mik CTLHN và vote 5 sao nếu được

     

Leave an answer

Browse

Giải phương trình 1 ẩn: x + 2 - 2(x + 1) = -x . Hỏi x = ? ( )