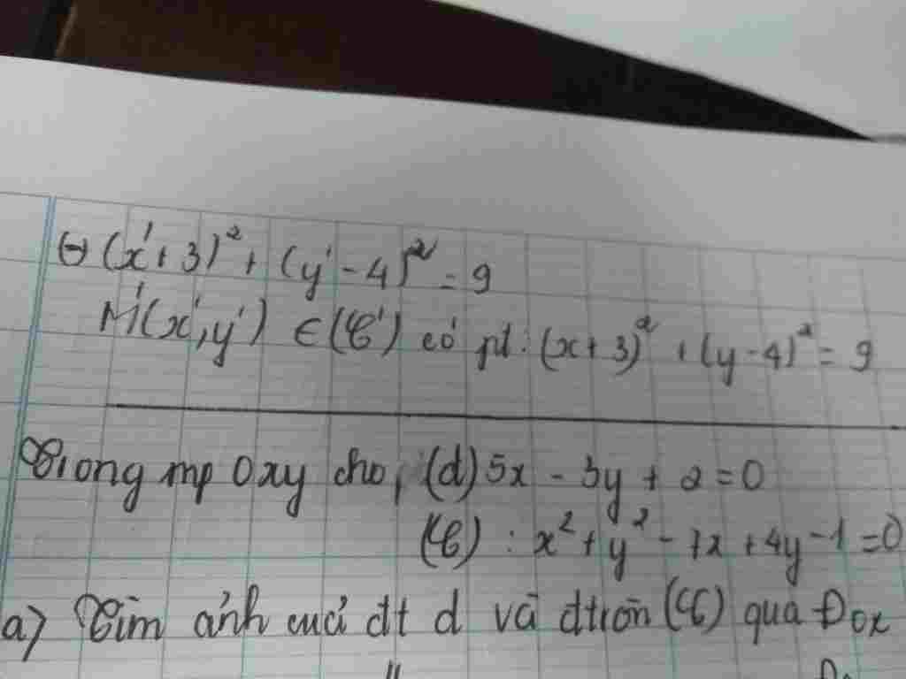
Giải câu a tìm ảnh của đt và đường tròn ạ ,cần gấp thanks

Question

Giải câu a tìm ảnh của đt và đường tròn ạ ,cần gấp thanks
giai-cau-a-tim-anh-cua-dt-va-duong-tron-a-can-gap-thanks

in progress 0
Nem 5 years 2020-10-29T04:55:53+00:00 1 Answers 81 views 0

Answers ( )

    0
    2020-10-29T04:57:40+00:00

    Hình ảnh của đường thẳng: mép bàn, cây thước kẻ, sợi chỉ kéo căng, chiếc đũa…

    Hình ảnh của đường tròn: miệng ly, chiếc nhẫn, vòng đeo tay, bánh xe…

    CHÚC BẠN HỌC TỐT!!!

Leave an answer

Browse

Giải phương trình 1 ẩn: x + 2 - 2(x + 1) = -x . Hỏi x = ? ( )