Giải 2 câu pt như trong ảnh ạ em cảm ơn

Question

Giải 2 câu pt như trong ảnh ạ em cảm ơn
giai-2-cau-pt-nhu-trong-anh-a-em-cam-on

in progress 0
Eirian 5 years 2020-11-29T01:54:31+00:00 1 Answers 39 views 0

Answers ( )

    0
    2020-11-29T01:56:08+00:00

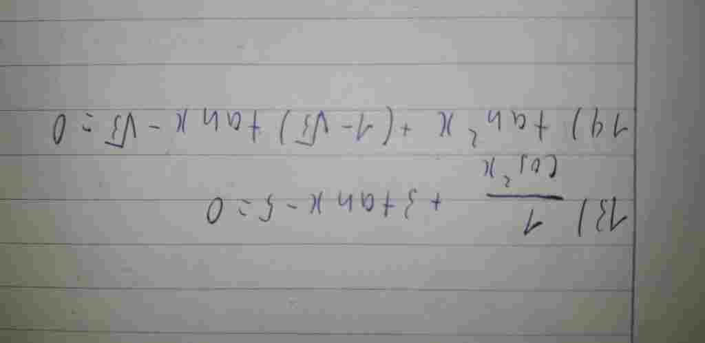
    13) $\dfrac{1}{\cos^2x} + 3\tan x -5 = 0$

    $ĐKXĐ: \, x \ne \dfrac{\pi}{2} + n\pi \quad (n \in \Bbb Z)$

    $(*)\Leftrightarrow \tan^2x + 1 +3\tan x – 5 = 0$

    $\Leftrightarrow \tan^2x + 3\tan x – 4 = 0$

    $\Leftrightarrow \left[\begin{array}{l}\tan x = 1\\\tan x = -4\end{array}\right.$

    $\Leftrightarrow \left[\begin{array}{l} x = \dfrac{\pi}{4} + k\pi\\x = \arctan(-4) + k\pi\end{array}\right.\quad (k \in \Bbb Z)$

    14) $\tan^2x + (1 – \sqrt3)\tan x – \sqrt 3 = 0$ $(**)$

    $ĐKXĐ: \, x \ne \dfrac{\pi}{2} + n\pi \quad (n \in \Bbb Z)$

    $(**) \Leftrightarrow \left[\begin{array}{l}\tan x = -1\\\tan x = \sqrt3\end{array}\right.$

    $\Leftrightarrow \left[\begin{array}{l}x = -\dfrac{\pi}{4} + k\pi\\x = \dfrac{\pi}{3} + k\pi\end{array}\right.\quad (k \in \Bbb Z)$

Leave an answer

Browse

Giải phương trình 1 ẩn: x + 2 - 2(x + 1) = -x . Hỏi x = ? ( )