Dẫn 2,24 lít khí CO2 (đktc) qua 150ml dung dịch KOH 1M. Tính khối lượng muối thu thu được sau phản ứng

Question

Dẫn 2,24 lít khí CO2 (đktc) qua 150ml dung dịch KOH 1M. Tính khối lượng muối thu thu được sau phản ứng

in progress 0
Calantha 5 years 2021-01-24T14:16:50+00:00 3 Answers 44 views 0

Answers ( )

    0
    2021-01-24T14:18:50+00:00

    Đáp án:

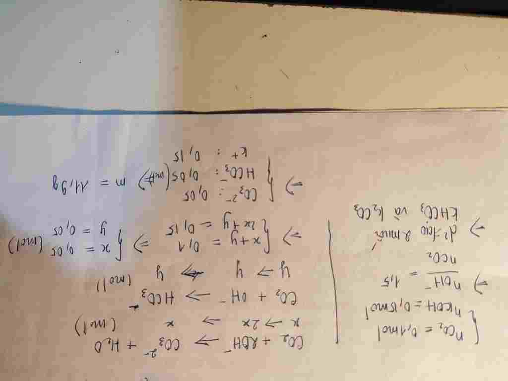
     11,9

    Giải thích các bước giải:

    nCO2=2,24/22,4=0,1(mol)

    nKOH=0,15×1=0,15(mol)

    Ta có nKOH/nCO2=1,5

    => tạo 2 muối

    2KOH+CO2->K2CO3+H2O

    KOH+CO2->KHCO3

    gọi a là số mol K2CO3 b là số mol KHCO3

    ta có

    2a+b=0,15

    a+b=0,1

    => a=0,05 b=0,05

    m muối=0,05×138+0,05×100=11,9 g

     

    0
    2021-01-24T14:18:50+00:00

    Đáp án:

     m=11,9g

    Giải thích các bước giải:

     

    dan-2-24-lit-khi-co2-dktc-qua-150ml-dung-dich-koh-1m-tinh-khoi-luong-muoi-thu-thu-duoc-sau-phan

    0
    2021-01-24T14:18:59+00:00

    Để tìm câu trả lời chính xác các em hãy tham khảo co2+koh các nguồn hoc24.vn, lazi.vn, hoidap247.com để thầy cô và các chuyên gia hỗ trợ các em nhé!

Leave an answer

Browse

Giải phương trình 1 ẩn: x + 2 - 2(x + 1) = -x . Hỏi x = ? ( )