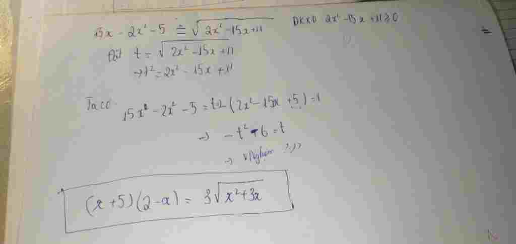
Các bạn giúp mk với.cái đầu tiên mk ko bt sai ở đâu nx .ai chỉ giúp vs… Làm hộ mk câu dưới đóng khung nhá ????

Question

Các bạn giúp mk với.cái đầu tiên mk ko bt sai ở đâu nx .ai chỉ giúp vs…
Làm hộ mk câu dưới đóng khung nhá ????
cac-ban-giup-mk-voi-cai-dau-tien-mk-ko-bt-sai-o-dau-n-ai-chi-giup-vs-lam-ho-mk-cau-duoi-dong-khu

in progress 0
Calantha 5 years 2020-11-02T16:49:24+00:00 1 Answers 83 views 0

Answers ( )

    0
    2020-11-02T16:51:03+00:00

    Đáp án: x=1/2

     

    Giải thích các bước giải:

     

    cac-ban-giup-mk-voi-cai-dau-tien-mk-ko-bt-sai-o-dau-n-ai-chi-giup-vs-lam-ho-mk-cau-duoi-dong-khu

Leave an answer

Browse

Giải phương trình 1 ẩn: x + 2 - 2(x + 1) = -x . Hỏi x = ? ( )