ai đó giúp mình bài này với

Question

ai đó giúp mình bài này với
ai-do-giup-minh-bai-nay-voi

in progress 0
Sigridomena 5 years 2021-05-01T04:04:17+00:00 1 Answers 12 views 0

Answers ( )

    0
    2021-05-01T04:06:10+00:00

     

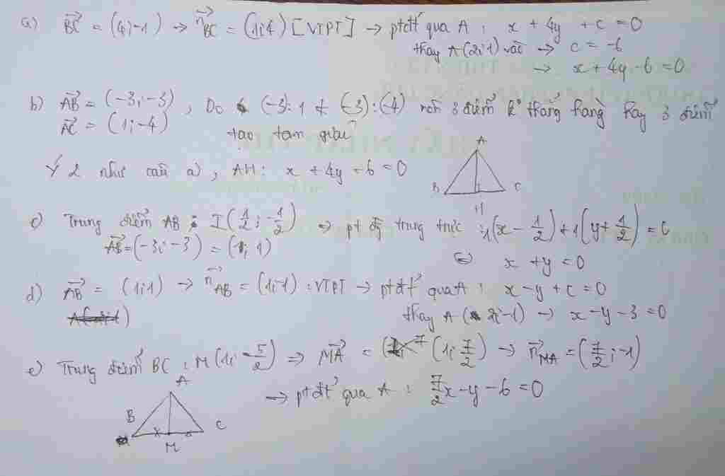
    Giải thích các bước giải:

     Như hình ..

    ĐÁNH GIÁ GIÚP MÌNH !

    ai-do-giup-minh-bai-nay-voi

Leave an answer

Browse

Giải phương trình 1 ẩn: x + 2 - 2(x + 1) = -x . Hỏi x = ? ( )