(1/2/3-2x).(x+1/2)=0

Question

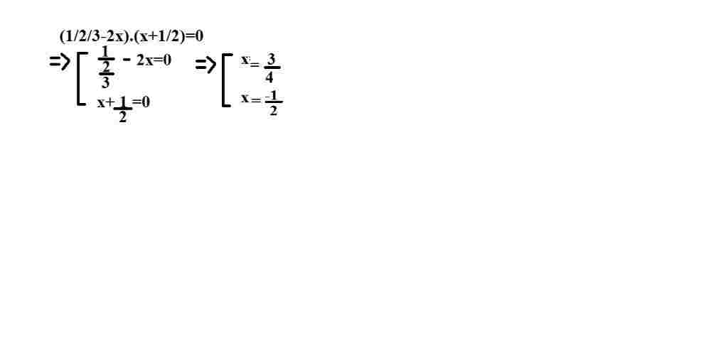
(1/2/3-2x).(x+1/2)=0

in progress 0
Nho 5 years 2020-10-27T11:10:45+00:00 2 Answers 73 views 0

Answers ( )

    0
    2020-10-27T11:12:03+00:00

    @Linhh2008

    $($ 1/2/3 $-$ $2x$ $)$ $.$ $($ $x$ $+$ $\dfrac{1}{2}$ $)$ $=$ $0$
    $⇒$ $($ 1/2/3 $-$ $2x$ $)$ $=$ $0$ và $\dfrac{1}{2}$ $)$ $=$ $0$
    $⇒$ $2x$ $=$ 1/2/3 và $x$ $=$ $\dfrac{1}{2}$
    $⇒$ $x$ $=$ 1/2/3 $:$ $2$ và $x$ $=$ $\dfrac{1}{2}$
    $⇒$ $x$ $=$ $\dfrac{1}{12}$ và $x$ $=$ $\dfrac{1}{2}$

     

    0
    2020-10-27T11:12:38+00:00

    .,

    1-2-3-2-1-2-0

Leave an answer

Browse

Giải phương trình 1 ẩn: x + 2 - 2(x + 1) = -x . Hỏi x = ? ( )